However I see that Modulus of rupture is calculated with rectangular beams. Flexural strength identifies the amount of stress and force an unreinforced concrete slab beam or other structure can withstand such that it resists any bending failures.

Determination Of Modulus Of Rupture Of Concrete Seismic Consolidation
Where b is the width of the beam in millimeters d is the failure point depth in millimeters L is the supported length in millimeters and Pa is the maximum load applied to the beam in kilograms and.

How to calculate the modulus of rupture. In this case the load is the external force put on the material of interest. So if the process is a shear rupture it is of a reasonably strong material. σ Mc I.
It is a predictive tool for resistance and durability to the structure of construction. Modulus of Rupture Formula. In order to test the flexural strength of a concrete beam its span length should be at least three times the depth.
Modulus of rupture is a measure of the tensile strength of concrete beams or slabs. Lets start with a beam of length L loaded at mid-span with a force F and is simply supported at the 2 ends of the beam. To calculate Modulus of Rupture of Concrete you.
Standard Test Methods to Determine the Modulus of Rupture of a Beam. Middle 13 of the Beam - Vlog 685. That is to say some species of.
It can be used to determine a wood species overall strength. How to Calculate Concretes Modulus of Rupture. R PLbd 2.
M 3 P L 2 b d 2 Where M Modulus Of Rupture P Breaking Load L Distance Between Knife Edges on which the Sample is Supported b Average Specimen Breadth d Average Specimen Depth In general Modulus of Rupture is. If the fracture initiates in the tension surface within the middle third of the span length calculate the modulus of rupture as follows. Assuming a 3-point model.
The particle size and packing of the aggregate system are factors in MOR but the maturity of the cement bond contributes more to. Modulus of Rupture psi kgcm 2 Modulus of rupture MOR is like a three-point bend test. σ Modulus of Rupture.
The Modulus of Rupture should be calculated by taking an average result from 10 test samples. You can calculate the m. Load at fracture l.
You can calculate the modulus of rupture sigma using the equation σr 3Fxyz² for the load force F and size dimensions in three directions x y and z of the material. How to Calculate Concretes Modulus of Rupture. Prove the formula of modulus of rupture using the third point loading test.
Few tables graphs and values are. Main at the maximum point. As a percentage of the modulus of elasticity.
The Modulus of Rupture formula can be derived simply by using basic statics and strength of material equations. Answer 1 of 8. R Plbd2 P.
The formula for calculating modulus of rapture. Calculate Modulus of Rupture You can calculate the modulus of rupture sigma using the equation σ r 3Fxyz 2 for the load force F and size dimensions in three directions x. Unlike the modulus of elasticity which measures the woods deflection but not its ultimate strength.
The datasheet for this timber supplies a Modulus of rupture σ 117 MPa. Calculation of modulus of rupture helps in maintaining the construction of structural elements like beams cantilevers shafts etc. Depth Homework Equations The Attempt at a Solution I dont know how to start.
The Modulus of Rupture is then calculated using the standard formula M where P is the breaking load on the scale L is the distance between the lower tension rods on which the sample of breadth b and depthd is supported. Middle 13 of the Beam - Vlog 685 - YouTube. You can calculate the modulus of rupture sigma using the equation σ r 3Fxyz 2 for the load force F and size dimensions in three directions x y and z of the material.
F - Downwards force. For castables it measures the bonding strength of the cement matrix. This lesson will help you with the basic understanding of Youngs modulus of elasticity and Modulus of rupture of concrete.
In this case the load is the external force put on the material of interest. Where F maximum force kN at mid-span 1 kN 1000 N. The Modulus of Rupture formula at a three-point bending setup 3FL2bd2.
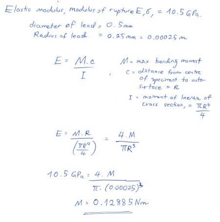
The Modulus of Rupture of Concrete formula is defined as a measure of the tensile strength of concrete beams or slabs is calculated using modulus_of_rupture_of_concrete 75 Characteristic compressive strength 12. To compute for modulus of rupture three essential parameters are needed and these parameters are Bending Moment M Distance c and Moment of Inertia I. MOR measures the bond strength of the test specimen.
The cross section of the beam. Rupture shearmodulus of elasticity 13 10 8 14 10 10 1 10 Rupture will occur in the lowest strength layer of the continententrained sedimentslab layer cake. Then flexural strength or modulus of rupture FB is calculated by equation given below.
I hope that Ill get the answer in here. L span length mm b width mm d depth or thickness mm. σ 3 F L 2 d 2 b.
M Modulus Of Rupture P Breaking Load L Distance Between Knife Edges on which the Sample is Supported b Average Specimen Breadth d Average Specimen Depth. The flexural strength is expressed as the modulus of rupture MR in psi MPa. Modulus rapture provides a parameter for the structure of a dynamic building.
The weight of the beam is not included in the above calculation. M Bending Moment. Modulus of Rupture frequently abbreviated as MOR sometimes referred to as bending strength is a measure of a specimens strength before rupture.
The reaction forces are P1 and P2.
Modulus Of Rupture At An Angle Physics Forums

Solved Calculate The Modulus Of Rupture For A Beam With A Chegg Com

How To Calculate Concrete S Modulus Of Rupture Middle 1 3 Of The Beam Vlog 685 Youtube

Solved The Following Data Are Collected For A Modulus Of Chegg Com

How To Calculate And Solve For Modulus Of Rupture Fracture Mechanics Nickzom Blog